Kayış kasnak mekanizmaları, hemen her işletmede bulunan, üretilmiş dönme hareketini bir başka mekanizmayı tahrik etmek için kullanılan, ayrıca döndürme gücünü veya hızını değiştirebilen sistemlerdir.
Avantajlar:
Geniş hız aralığında çalışma yeteneği vardır.
Kayışlar yağlama gerektirmezler.
Düşük güç ve düşük çevrim oranı için zincirlere göre daha ucuzdur.
Düz kayışlar çok yüksek hız iletimleri için en iyi mekanizmadır.
Taşıyamayacağı yük altında kayar böylece şaftlarda mekanik hasarın engellenmesinde koruyucu görev yapar.
Uzun eksenler arası mesafe için uygun çözüm oluştururlar.
Yağlama gerekmediği için açıkta çalışabilirler.
Dezavantajlar:
Zaman kayışı dışında kesin zamanlama görevlerinde kullanılmazlar, zira kayma oluşabilir.
Kayışlar kimyasallardan ve sıcaklıktan kolaylıkla etkilenir.
Herhangi bir sorunda vibrasyon yaratabilir, sesli çalışabilir ve gürültü meydana gelebilir.
Kayış-Kasnak Sistemlerinin Montajında Dikkat Edilmesi Gerekenler:
V kayışlarda ilk montaja göre kayışın 1mm.den fazla kasnak yivi içine çökmesine izin verilmez.
Normal çalışma şartlarında kayışın 60°C’yi geçmemesi gerekir.
Çalışma bölgesinde (temas bölgesi) aşındırıcı madde, gres ve yağ buharı bulunmamalıdır.
Kayışlarda mutlaka gevşeme kontrolü yapılmalıdır.
Kasnaklar üretimden sonra mutlaka balans işlemine tabii tutulmalıdır.
Montaj esnasında kasnaklara darbe gelmemesine dikkat edilmelidir.
Kayışların montajında kayışlar kesinlikle levye, tornavida gibi malzemelerle zorlanmamalıdır.
Kayış-Kasnak Sistemlerinde Temel Büyüklükler
Düz Kayışlar:
Düz kayışların iletebileceği moment bantlı frenlerde olduğu gibi hesap edilir;
Ara işlemler bantlı frenler kısmından takıp edilebilir.

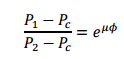
Burada, P1 sıkı taraftaki ve P2 gevşek taraftaki kayış gerilmesi, µ sürtünme katsayısı ve ф kayışın kasnak üzerindeki toplam temas acısıdır. Gerekli kayış gerilmesi Pi, kayışın elastik özelliklerine bağlı olup, genelde aşağıdaki gibi hesaplanır:
Kayış kasnak sisteminin yeteri kadar yavaş hareket ettiğini kabul ederek, kayışın atalet kuvvetleri ihmal edilebilir. Kayışlar normalde güç transferi sırasında oldukça hızlı hareket ettiklerinden merkezkaç (santrifüj) kuvvetlerinin etkisi altında da kalırlar. Merkezkaç kuvveti sonucunda kayışta Pc kuvveti oluşsun. Oluşan Pc kuvveti şöyle ifade edilir.
Burada;
ml :Kayışın birim uzunluğunun kütlesi
V :Kayışın çizgisel hızı
r :Kasnak yarıçapı
Pc kuvveti mutlaka yukarıdaki denklemlere ilave edilir. Buna göre yeni denklem aşağıdaki gibi ifade edilir.

V Kayışlar:



Problem:
Elektrik motoru 19kW'lık bir makine parçasını 1750rpm ile birden fazla V-kayışı kullanarak hareket ettiriyor. Boyutu 5V-kayışı β=18° ve kayışın birim kütlesi 0.215gr/mm’dir.Motor kasnağının pitch çapı 94 mm ve kayışın kasnağı sardığı açı 165°’dir.
Kayıştaki gerilme yükünün en fazla 672N ve sürtünme katsayısının 0.20 olduğu kabulü ile kaç tane V-kayışının kullanılacağını hesap ediniz.
Verilenler:
Güç:19kW , devir 1750 rpm, kayış tipi, β=18, birim ağırlık=0.215gr/mm, Kasnak çapı=94mm , ф=165, Pmax=672N ve ɥ=0.20
Çözüm:

Burada Pc bilinmemektedir.

Kayış Sayısı= 19/4.78 =3.97 kayış, Kayış sayısı 4 olarak seçilir.
Konik Burç Sıkma Tablosu
